平成27年 歯科保健状況(学齢期)

2016年10月09日
出典:東京都福祉保健局 > 医療・保健 > 医療・保健施策 > 東京都の歯科保健対策 > 資料・報告書等 > 東京の歯科保健-東京都歯科保健医療関係資料集-

平成27年 歯科保健状況(学齢期)
 
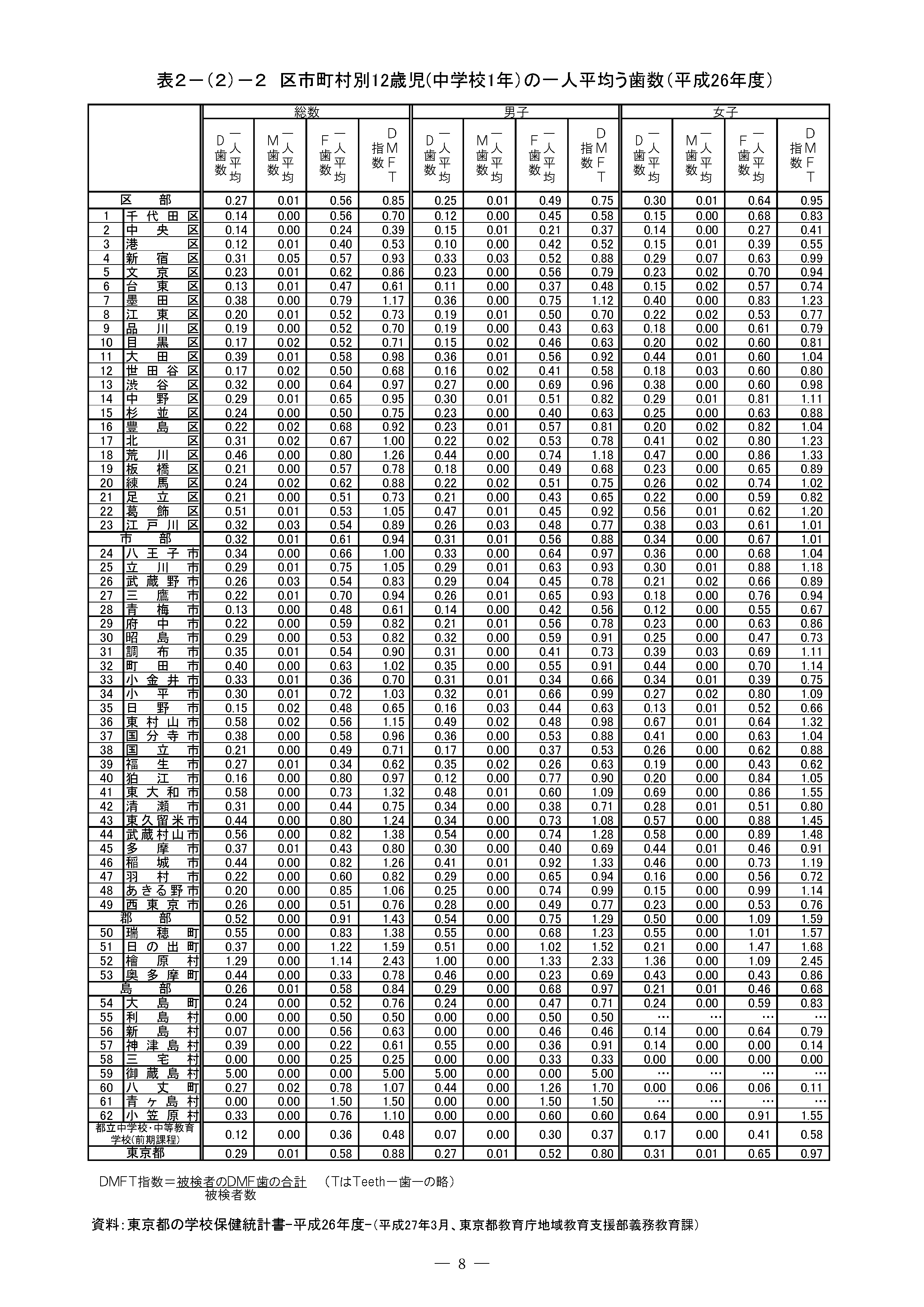
印刷用ダウンロード:『東京の歯科保健—東京都歯科保健医療関係資料集—平成27年10月』の 2 歯科保健状況 2-(2) 学齢期 部分の抜粋