| |
印刷用ダウンロード: 令和2年度東京都の学校保健統計書|歯科疾患|(抜粋) |
|
| 下記は、『令和2年度東京都の学校保健統計書(定期健康診断疾病異常調査)』の中から、歯科疾患の部分を抜粋したのもです。 |
|
| 5 歯科疾患について |
| (1) むし歯(う歯)について |
| ア |
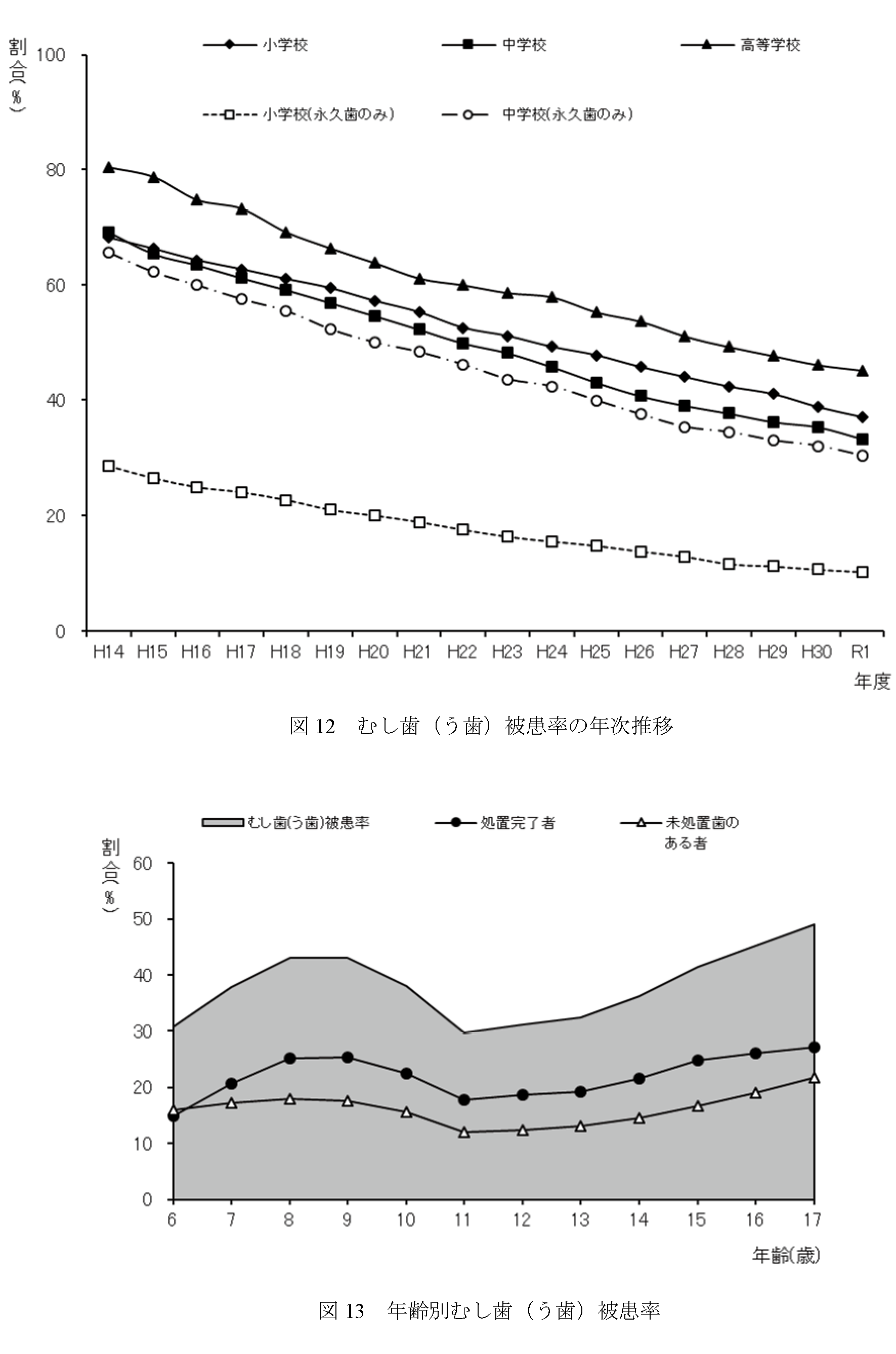
むし歯(う歯)被患率について (表3、図12、図13、図14、図15) |
| |
むし歯(う歯)被患率とは、むし歯(治療済みのむし歯を含む。) のある者の割合である。本年度のむし歯被患率は、小学校37.11%、中学校33.28%、高等学校45.23%であり、経年的には減少傾向が続いている。
小学校及び中学校における、永久歯のむし歯(う歯)のある者の率も、年々減少している。また、むし歯(う歯)被患率を年齢別にみると、17 歳(高等学校第3 年)が49.07%と最も高くなっている。また、7 歳(小学校第2 学年)以降、処置完了者の割合は、未処置歯のある者の割合を上回っている。
なお、むし歯(う歯)被患率は永久歯だけでなく、乳歯も合わせて集計している。図13 にて11歳の段階で被患率が減少するのは、乳歯から永久歯への生え変わりの影響によるものと考えられる。
また、小学校の地域別のむし歯(う歯)被患率を図14 に、中学校の地域別のむし歯(う歯)被患率を図15 にそれぞれ示す。 |
| |
 |
| |
 |
| |
 |
| |
 |
| |
|
| イ |
小学校第6 学年児童、中学校第1 学年生徒の永久歯の一人平均むし歯(う歯)経験歯数(DMFT 指数)について ( 表4、図16-1、16-2、図17)
DMFT 指数の年次推移を表4 並びに図16-1 及び16-2 に示す。本年度の小学校第6 学年児童(11 歳)及び中学校第1 学年生徒(12 歳)のDMFT 指数の都平均は、それぞれ0.38、0.68 となっている。小学校第6 学年、中学校第1 学年、いずれにおいても減少傾向が続いている。
DMFT 指数は、小学校第6 学年、中学校第1 学年、いずれにおいても、男子より女子の方が高くなっている。また、地域別のDMFT 指数(中学校第1 学年)を図17 に示す。 |
| |
 |
| |
 |
| (2) 歯肉の状態について (図18-1) |
| |
歯肉の状態を学年別にみると、歯周疾患及び歯周疾患要観察者の割合は学年が進むに従って高くなる傾向にある。 |
| |
 |
| (3) 歯垢について (図18-2) |
| |
歯垢を学年別にみると、割合は学年が進むに従って高くなる傾向にある。 |
| |
 |