| |
| 印刷用ダウンロード: 平成30年度東京都の学校保健統計書|歯科疾患|(抜粋) |
|
| 下記は、『平成30年度東京都の学校保健統計書(定期健康診断疾病異常調査)』の中から、歯科疾患の部分を抜粋したのもです。 |
|
| 5 歯科疾患について |
| (1) むし歯(う歯)について |
| ア |
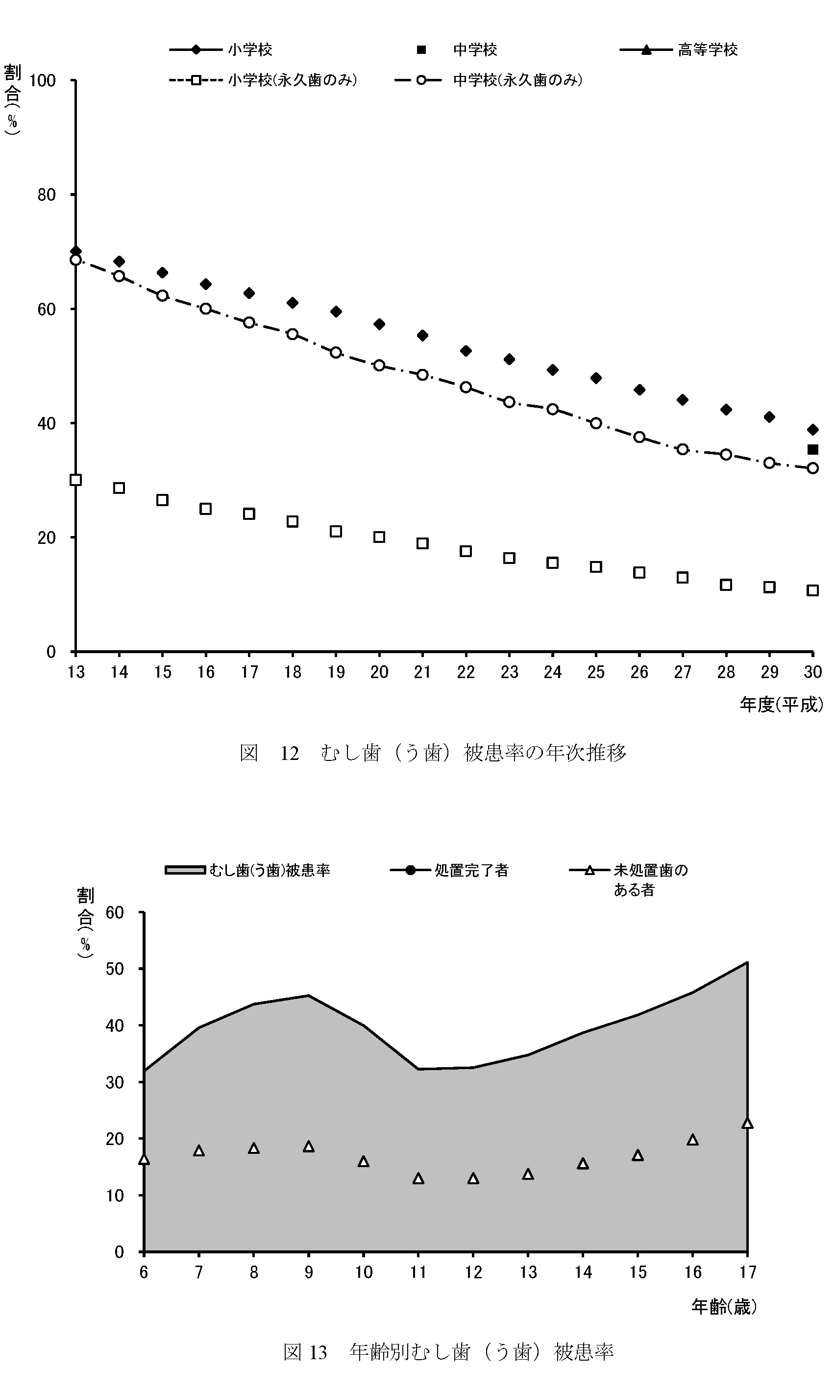
むし歯(う歯)被患率について (表3、図12、図13、図14) |
| |
むし歯(う歯)被患率とは、むし歯(治療済みのむし歯を含む。)のある者の割合である。本年度のむし歯被患率は、小学校38.81%、中学校35.36%、高等学校46.18%であり、経年的には減少傾向が続いている。
小学校及び中学校における、永久歯のむし歯(う歯)のある者の率も、年々減少している。また、むし歯(う歯)被患率を年齢的に見ると17歳(高等学校第3年)が51.11%と最も高くなっている。また、7歳(小学校第2学年)以降、処置完了者の割合は、未処置歯のある者の割合を上回ってる。
なお、むし歯(う歯)被患率は永久歯だけでなく、乳歯も合わせて集計している。図13にて11歳の段階で被患率が減少するのは、乳歯から永久歯への生え変わりの影響によるものと考えられる。また、小学校の地域別のむし歯(う歯)被患率を図14に、中学校の地域別のむし歯(う歯)被患率を図15にそれぞれ示す。 |
| |
 |
| |
 |
| |
 |
| |
 |
| |
|
| イ |
小学校第6学年児童、中学校第1学年生徒の永久歯の一人平均むし歯(う歯)経験数者(DMFT指数)について (表4、図16−1、16−2、図17)
DMFT指数の年次推移を表4、図16−1、16−2に示す。本年度の小学校第6学年児童(11歳)及び中学校第1学年生徒(12歳)のDMFT指数の都平均は、それぞれ0.42、0.69となっている。小学校第6学年、中学校第1学年、いずれにおいても減少傾向が続いている。
DMFT数値は、小学校第6学年、中学校第1学年、いずれにおいても、男子より女子の方が高くなっている。また、地域別のDMFT指数(中学校第1学年)を図17に示す。 |
| |
 |
| |
 |
| (2) 歯肉の状態について (図18-1) |
| |
歯肉の状態を学年別にみると、歯周疾患及び歯周疾患要観察者の割合は学年が進むに従って高くなっている。 |
| |
 |
| (3) 歯垢について (図18-2) |
| |
歯垢を学年別にみると、高等学校 3 年を除き、割合は学年が進むに従って高くなっている。 |
| |
 |
| |
|